이자에서 얘기하는 용어인 단리와 복리 회계 영어는? (부제. 단리와 복리에 따른 계산 차이)

이자에서 얘기하는 용어인 단리와 복리 회계 영어는? 
(부제. 단리와 복리에 따른 이자 계산 차이)


  문제에서 가끔 보이는 표현 단리, 복리에 따라 Quick하게 문제의 의도를 파악해야 하는데, 필자도 대충 흘려보다 틀리는 경우가 있다. 머릿속에 각인 시키자. 그리고 이자 계산 차이에 대해서도 짚고 넘어가자. 


  단리와 복리 사실 중등교육 시간에 배웠던거 같은데 나이먹고 봐도 참 어색하다. 딱 아시는 똑똑한 분들도 계시겠지만, 나는 갸우뚱 했다.



# 영어 표현 및 공식


ⓐ 단리 (Simple Interest)

ㆍ P = Principal amount

ㆍ r = Annual interest rate

ㆍ n = Term of loan, in years


ex) P = 100,000

      r = 4%

      n = 2 ​

       → X2년도 (Simple) Interest expense는 100,000  × 4% × 2

           즉, 단리 이자는 8,000이다.

               





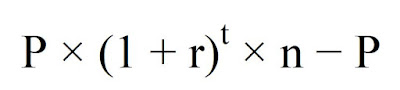
ⓑ 복리 (Compound Interest)

ㆍ P = Principal amount

ㆍ r = Annual interest rate

ㆍ t = Number of years interest is applied


ex) P = 100,000

      r = 4%

      n = 2 ​

       → ​ X2년도 복리의 마법을 보자.

         


           즉, 복리 이자는 8,160

           위 단리보다 이자가 160이 많다. 만일 동일한 원금과 이자율을 가정하고 n이 5년이 되었다고 가정하면 복리 21,665$ vs 단리 16,000로 차이금액은 5,665$로 단리와 비교하여 35%나 이자가 많게 된다. 이게 바로 복리의 마법이다.






댓글